一品楼免费信息论坛一品楼qm凤楼论坛 ,寻乐吧全国信息论坛,全国茶楼论坛官网入口,广州js论坛一品香一品楼品凤楼论坛qm

美林数据
ABOUT US
美林数据技术股份有限公司(简称:美林数据,NEEQ:831546)是国内知名的数据治理和数据分析服务提供商。

美林新闻/NEWS

首页 美林数据 行业资讯

【数据建模工具】数据处理算法讲解之主成分分析

2022-09-23 14:54:55
主成分分析常用于社会科学、市场调研和使用大型数据集的其他行业数据建模分析中处理数据,用来从大数据集形成较小数量的不相关变量。在一系列数据分析中,通常将主成分分析作为其中的一个步骤。主成分分析的目的是为了使用最少数量的主成分来解释最大量的方差??梢允褂弥鞒煞址治黾跎俦淞渴坎⒈苊舛嘀毓蚕咝裕部梢栽谙喽杂诠鄄庵凳慷杂刑嘣げ獗淞渴笔褂弥鞒煞址治?。
?算法思想
主成分分析PCA(Principal Component Analysis)是一种常用的机器学习数据预处理的分析方法,给定原始特征空间,通过线性变换找到更低维度空间的线性映射,常用于高维数据的降维,PCA具备保守方差最大和重构误差最小的优良特性。PCA算法步骤为:
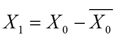
(1)数据0均值化:
将每一列数据减去对应的均值得到0均值矩阵方便下一步的协方差矩阵求解。
 主成分分析算法
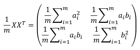
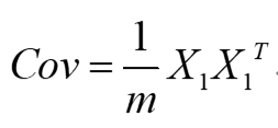
(2)计算协方差矩阵:
以矩阵X(0均值化处理)为例:
主成分分析算法
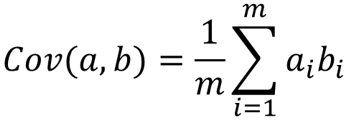
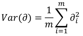
由于X经过0均值化处理,所以可以求出方差和协方差:
 主成分分析算法
主成分分析算法
 由此可得:
 主成分分析算法
那么,由 可得 协方差矩阵为:
 主成分分析算法
(3)计算协方差矩阵的特征向量:
对协方差矩阵做奇异值分解,找到矩阵 满足 为对角阵,那么 对角值为协方差矩阵的特征值, 为特征值对应的特征向量。对特征值进行降序排列,选取特征值前n(主成分个数)个对应特征向量构建矩阵为成分矩阵。
 主成分分析算法
(4)数据降维
根据成分矩阵 可以将原始数据 进行降维操作:
 主成分分析算法
?数据格式
  • 数值型字段;
?参数说明
数据处理算法
参数 类型 描述
选择变量 列表框 用户指定需要进行主成分分析的属性列,需要指定大于1个的变量作为主成分分析的对象
提取方法 下拉框 按照因子数、累积贡献度的方式进行主成分分析。
因子数 文本框 当提取方法为因子数时,用户直接指定需要分解的因子数。默认为1。
累积贡献度 文本框 当提取方法为累积贡献度时,用户直接指定需要贡献度的大小。默认为90%。
?结果说明
数据处理—主成分分析
属性列“pre_vector”为需要进行主成分分析的原始列集合;
属性列“Pca_Vector”为经过主成分分析后的变换列;
?演示实例
利用Tempo机器学习平台构建如下流程:
数据处理—主成分分析
【文件输入】节点配置如下:
数据处理—主成分分析
【主成分分析】节点配置如下:
数据处理—主成分分析
Tempo机器学习平台流程运行结果如下所示:
数据处理—主成分分析
服务热线
400-608-2558
咨询热线
15502965860-
美林数据
微信扫描二维码,立即在线咨询