服务热线
400-608-2558
咨询热线
15502965860-





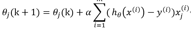
或者k<K ,输出θ,否则转步骤2.

| 参数 | 类型 | 描述 |
| 数据标准化 | 下拉框 | 设置数据标准化的方法,字符型,取值范围:无处理,归一化,标准化,默认值为无处理 |
| 取值区间下限 | 文本框 | 设置归一化取值区间下限,浮点型,取值范围:[0,∞),默认值为0 |
| 取值区间上限 | 文本框 | 设置归一化取值区间上限,浮点型,取值范围:[0,∞),默认值为1 |
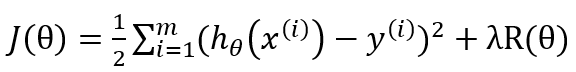
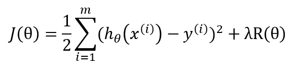
| 正则化参数 | 文本框 | 正则化参数控制机器的复杂度,浮点型,取值范围:[0,∞),默认值为0.01 |
| 收敛容差 | 文本框 | 设置终止迭代的误差界,浮点型,取值范围:[0,∞),默认值为0.000001 |
| 最大迭代次数 | 文本框 | 设置最大迭代次数,整型,取值范围:[1,∞),默认值为100 |
| 罚函数类型 | 下拉框 | 设置惩罚函数类型,0对应L2罚函数,1对应L1罚函数,(0,1)之间对应L1和L2的组合罚函数。浮点型,取值范围:[0,1],默认值为0 |
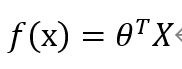
| 求解方法 | 下拉框 | 选择线性回归的求解方法,文本型,取值范围:Auto,L-BFGS,Normal (Normal->加权最小二乘法,L-BFGS->牛顿法,Auto->算法自动选?。↙-BFGS,Normal)中的一种)。默认值为Auto |
| 是否显示变量重要性 | 复选框 | 用户选择是否分析每个变量对于回归结果的影响程度,如果选择是,则在洞察中显示参与建模的每个变量对于模型的贡献程度情况 |






